THERMO Spoken Here! ~ J. Pohl © TOC     NEXT    ~   19

1.08 Derivative of Momentum: BODY

In 1687 Newton published two axiomatic statements, three Laws of Motion and much else. His first axiom identified his "quantity of matter" to be measurable, we call his quantity, mass. With a BODY as his system, Newton used coordinate space descriptions (vectors) to mathematically quantify the vector "position." Next to address motion, Newton invented the derivative of calculus and the second spatial characteristic of a BODY, velocity. That being done, Newton stated a second Axiom.

Axiom II:  Quantity of Motion of a BODY is defined to be the measure of the same, arising from its velocity and (quantity of matter) mass conjointly.

Axiom II presupposes Axiom I (definition of "quantity of matter") and also presumed is that the reader has a bare bones knowledge of vectors, and vector calculus (velocity is the derivative of changing position). These modern times, Newton's "quantity of motion" is called the momentum (of a BODY). Today momentum of a BODY is stated as:

(1) 1

Newton explained motion at its basis. He saw the property mass and the characteristic of "motion" (at its basis), velocity, as undeniably involved. The product of a scalar times a vector, "mass times velocity" is what we call momentum today.

Consider the momentum of a BODY moving in an 0XYZ Cartesian space. At a time (no time specifically but a time, t = t*) the momentum of the BODY is mV(t*); stated implicitly below left. Our interest is the momentum of the BODY a short time later, the inspecific time being, t = t* + Δt. By symbol, the momentum of the BODY is then (implicitly stated - below right) is:

(2) The momentum of a BODY at a time, t*. (3) The new momentum of the BODY a short
time later, at the time, t* + Δt.

Here momentum is written with vector notation: single letter with over-arrow and with subscripts. The trailing superscript, "0XYZ," states the coordinates of the vector space. The subscript "BODY" tells us that we are observing momentum of some constant amount of physical matter using Newton's model of matter, the BODY.

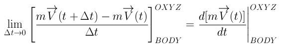
Newton studied "Quantity of Motion," momentum of a BODY "at its basis" which means momentum of the BODY at its very least, at its smallest, vanishing limit of occurance. (His idea was to understand what happens BEFORE friction gets involved). Momentum change "at its basis" happens in a very short, near-zero period of time. Using the calculus tool he had developed to define velocity, Newton constructed a "difference of momentum" that would occur over a time of Δt, is written as:

(4) 4

Seeking the basis of motion, Newton divided his "difference of position" by his symbol for the time lapse for that movement, Δt. The mathematics of today calls this arrangement of symbols a "difference quotient." The ideas are reasonably simple. Inspect the ideas in their math forms (the above expressions and below).

(5) 5

To press the idea "at its basis" means to inspect the "very least change of position." But as the change of position becomes smaller, so also does the increment of time, Δ t. But the quotient, how does it change, what does it become as its denominator, Δ t vanishes. The vanishment of Δ t is written as - (Δt → 0). This discussion about of imaginary mathematical idea is called a "limiting process" or "taking the limit." The idea can be expressed only implicitly, meaning as "an idea."

To suppose something exists at an instant, a time so short as to be "zero length in time:" such is certainly an abstract idea. Newton called his first usage with regard to a BODY, the velocity V(t*) of the BODY at time t = t*. As in this discussion, Newton used his idea and mathematics again. Each of the two notations below are identically and completely equal. The notations are called the "derivative of momentum with respect to time" or simply the "derivative of momentum." Momentum is a time dependent vector quantity in 0XYZ-space.

6 (6) 6

The property momentum is the "quantity of motion" of a BODY. The above discussion used the distinct time, t*, because derivatives are defined at an "instance in time" not in general for any or all times. That is part of what a derivative is. But once results are in hand, since the chosen t* was arbitrary, any other time might as well have been chosen. Thus we extend the results, after the fact, to applied to any and all times, t. Each of the three entities (repeated below) is the same thing; each is the velocity of a BODY in 0XYZ space.

(6) 7

(6s) 8s
Limit of the difference quotient
of Momentum of a BODY
in 0XYZ space.
Derivative of Momentum of
a BODY in 0XYZ space.